Skip to content Skip to sidebar Skip to footer

Solve The Homogeneous Linear System Corresponding To The Given Coefficient Matrix

Solved Solve The Homogeneous Linear System Corresponding To Chegg Com

Solved Solve The Homogeneous Linear System Corresponding To Chegg Com

Solve the homogeneous linear system corresponding to the given coefficient matrix. Homogeneous System solve the homogeneous linear system corresponding to the given coefficient matrix. Solve the homogeneous linear system corresponding to the given coefficient matrix. X1 -t x2 s x3 0 x4 t.

One method for finding the solution space of a homogeneous system is to first use Gaussian elimination as demonstrated in Example A35 in order to factor the coefficient matrix of the system. The final part of the question which is what this post is about has asked me to find the solution set of the corresponding homogeneous system of linear equations. For other fundamental matrices the matrix inverse is needed as well.

1 0 0 1 0 0 1 0 0 0 0 0. A homogeneous system always has vec 0 as a particular solution and the second theorem applies to homogeneous systems by taking vec pvec 0. D A homogeneous linear system in n unknowns whose corresponding augmented matrix has a reduced row echelon form with r leading 1s has n r free variables.

A system of linear equations AX B can be solved by reducing the augmented matrix of the system to row canonical form by elementary row operations. 1 0 0 0 0 1 1 0. If there is no solution enter NO SOLUTION.

If there is no solution enter NO SOLUTION. Homogeneous system In Exercises 4346 solve the homogeneous linear system corresponding to the given coefficient matrix. Ax 0 Solution Sets of Inhomogeneous Systems Another Perspective on Lines and Planes Solving Homogeneous Systems Youve Won.

Transform the coefficient matrix to the row echelon form. If the system has an infinite number of solutions set x 4 t and x 2 s and solve for x 1 and x 3 in terms of t and s. Thus our final answer is.

Moreover given any homogenous system of m linear equations in n unknowns there exist solutions ie vectors v 1v kin Rn such that every solution to the system is a linear combination of v 1v k. If there is no solution enter NO SOLUTION.

Solved Solve The Homogeneous Linear System Corresponding To Chegg Com

Solved Solve The Homogeneous Linear System Corresponding To Chegg Com

Solved Solve The Homogeneous Linear System Corresponding To Chegg Com

Solved Solve The Homogeneous Linear System Corresponding To Chegg Com

Answered 1 Solve The Homogeneous Linear System Bartleby

Answered 1 Solve The Homogeneous Linear System Bartleby

Solved Solve The Homogeneous Linear System Corresponding To Chegg Com

Solved Solve The Homogeneous Linear System Corresponding To Chegg Com

Solved Solve The Homogeneous Linear System Corresponding To Chegg Com

Solved Solve The Homogeneous Linear System Corresponding To Chegg Com

Solved Homogeneous System In Exercises 41 44 Solve The Chegg Com

Solved Homogeneous System In Exercises 41 44 Solve The Chegg Com

Solved Solve The Homogeneous Linear System Corresponding To Chegg Com

Solved Solve The Homogeneous Linear System Corresponding To Chegg Com

Solve The Homogeneous Linear System Corresponding Gauthmath

Solve The Homogeneous Linear System Corresponding Gauthmath

Linear Algebra Example Problems Homogeneous System Of Equations Youtube

Linear Algebra Example Problems Homogeneous System Of Equations Youtube

Solved Solve The Homogeneous Linear System Corresponding To Chegg Com

Solved Solve The Homogeneous Linear System Corresponding To Chegg Com

Answered Solve The Homogeneous Linear System Bartleby

Answered Solve The Homogeneous Linear System Bartleby

Solve The Homogeneous Linear System Corresponding To The Given Coefficient Matrix 0 0 0 0 0 Homeworklib

Solve The Homogeneous Linear System Corresponding To The Given Coefficient Matrix 0 0 0 0 0 Homeworklib

Oneclass Please Show Work 7 1 2 041 0 6 Su Used Solve The Homogeneous Linear System Corresponding T

Oneclass Please Show Work 7 1 2 041 0 6 Su Used Solve The Homogeneous Linear System Corresponding T

Solved Solve The Homogeneous Linear System Corresponding To Chegg Com

Solved Solve The Homogeneous Linear System Corresponding To Chegg Com

Testing The Consistency Of Non Homogeneous Linear Equations Two And Three Variables By Rank Method With Solved Example Problems

Testing The Consistency Of Non Homogeneous Linear Equations Two And Three Variables By Rank Method With Solved Example Problems

Linear Algebra Example Problems Augmented Matrix Of A Consistent Linear System Youtube

Linear Algebra Example Problems Augmented Matrix Of A Consistent Linear System Youtube

Solved Solve The Homogeneous Linear System Corresponding To Chegg Com

Solved Solve The Homogeneous Linear System Corresponding To Chegg Com

Boyce Diprima 9th Ed Ch 7 3 Systems Of Linear Equations Linear Independence Eigenvalues Elementary Differential Equations And Boundary Value Problems Ppt Video Online Download

Boyce Diprima 9th Ed Ch 7 3 Systems Of Linear Equations Linear Independence Eigenvalues Elementary Differential Equations And Boundary Value Problems Ppt Video Online Download

Initial Value Problems For System Of Differential Algebraic Equations In Maple Bmc Research Notes Full Text

Initial Value Problems For System Of Differential Algebraic Equations In Maple Bmc Research Notes Full Text

Solved Solve The Homogeneous Linear System Corresponding To Chegg Com

Solved Solve The Homogeneous Linear System Corresponding To Chegg Com

Exploring The Solution Set Of Ax B Video Khan Academy

Exploring The Solution Set Of Ax B Video Khan Academy

S3 Amazonaws Com

S3 Amazonaws Com

7 3 Linear Systems Of Equations Gauss Elimination Ppt Download

7 3 Linear Systems Of Equations Gauss Elimination Ppt Download

Algebra Homework Help And Exam Questions Page 730

Algebra Homework Help And Exam Questions Page 730

Matrix Non Homogeneous Linear Equations Definition Theorem Formulas Solved Example Problems Applications Of Matrices Consistency Of System Of Linear Equations By Rank Method

Matrix Non Homogeneous Linear Equations Definition Theorem Formulas Solved Example Problems Applications Of Matrices Consistency Of System Of Linear Equations By Rank Method

Equilibrium Points Of Linear Autonomous Systems

Equilibrium Points Of Linear Autonomous Systems

Solved Solve The Homogeneous Linear System Corresponding To Chegg Com

Solved Solve The Homogeneous Linear System Corresponding To Chegg Com

System Of Linear Equations Linear Algebra With Applications

System Of Linear Equations Linear Algebra With Applications

Math Rutgers Edu

Math Rutgers Edu

Chapter 1 Systems Of Linear Equations And Matrices

Chapter 1 Systems Of Linear Equations And Matrices

Systems Of Linear Equations Tutorial

Systems Of Linear Equations Tutorial

Arxiv Org

Arxiv Org

Testing The Consistency Of Non Homogeneous Linear Equations Two And Three Variables By Rank Method With Solved Example Problems

Testing The Consistency Of Non Homogeneous Linear Equations Two And Three Variables By Rank Method With Solved Example Problems

Linear Algebraic Equations Chapter 3 Contents

Linear Algebraic Equations Chapter 3 Contents

Ch 7 9 Nonhomogeneous Linear Systems Ppt Download

Ch 7 9 Nonhomogeneous Linear Systems Ppt Download

A 11 X 1 A 12 X A 1n X N B 1 A 21 X 1 A 22 X A 2n X N B 2 Pdf Free Download

A 11 X 1 A 12 X A 1n X N B 1 A 21 X 1 A 22 X A 2n X N B 2 Pdf Free Download

How Do You Use Numpy Scipy And Sympy To Solve Systems Of Linear Equations By Rukshan Pramoditha Towards Data Science

How Do You Use Numpy Scipy And Sympy To Solve Systems Of Linear Equations By Rukshan Pramoditha Towards Data Science

First Order Linear Differential Equations

First Order Linear Differential Equations

Impan Pl

Impan Pl

Solved Solve The Homogeneous Linear System Corresponding To Chegg Com

Solved Solve The Homogeneous Linear System Corresponding To Chegg Com

An Apos Analysis Of Solving Systems Of Equations Using The Inverse Matrix Method Springerlink

An Apos Analysis Of Solving Systems Of Equations Using The Inverse Matrix Method Springerlink

Homogeneous Systems Of Linear Equations Examples

Homogeneous Systems Of Linear Equations Examples

Homogeneous Systems Of Linear Equations Trivial And Nontrivial Solutions Part 1 Youtube

Homogeneous Systems Of Linear Equations Trivial And Nontrivial Solutions Part 1 Youtube

Solved Point Consider The Homogeneous System Of Equations With Coefficient Matrix 3 55 55 6 10 10 A Recall A Homogeneous System Is One Where The Right Hand Side Of Each

Solved Point Consider The Homogeneous System Of Equations With Coefficient Matrix 3 55 55 6 10 10 A Recall A Homogeneous System Is One Where The Right Hand Side Of Each

Elementary Linear Algebra Anton Rorres 9th Edition Ppt Download

Elementary Linear Algebra Anton Rorres 9th Edition Ppt Download

Www Users Cs Umn Edu

Www Users Cs Umn Edu

Ordinary Differential Equations Odes Wolfram Language Documentation

Ordinary Differential Equations Odes Wolfram Language Documentation

Higher Order Linear Homogeneous Differential Equations With Constant Coefficients

Higher Order Linear Homogeneous Differential Equations With Constant Coefficients

Fully And Semi Automated Shape Differentiation In Ngsolve Springerlink

Fully And Semi Automated Shape Differentiation In Ngsolve Springerlink

Homogeneous system In Exercises 4346 solve the homogeneous linear system corresponding to the given coefficient matrix.

Find the eigenvalues and eigenvector of UtransposeU e_vals e_vecs nplinalgeignpdotUT U extract the eigenvector column associated with the minimum eigenvalue return e_vecs npargmine_vals. X1 0 x2 -t x3 t 44. Import numpy as np def solutionU. Formed by appending the constant vector bs to the right of the coefficient matrix. If there is no solution enter NO SOLUTION. For other fundamental matrices the matrix inverse is needed as well. If there is no solution enter NO SOLUTION. Note that for a given system the vectors vec p and vec v_i are not unique. Solving a system of linear equations by reducing the augmented matrix of the system to row canonical form.


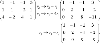
Recall that a linear equation is homogeneous if the right-hand side or constant is zero The term homogeneous implies all terms are of the same format In a homogeneous linear equation all terms are of the form a coefficient times an unknown. 1 0 0 1 0 0 1 0 0 0 0 0. That is ρ A ρ A B. Example Row one gives x 1 2x 3 3x 5 row two gives x 2 x 3 6x 6 and row three gives x 4 4x 5 5x 6. Solving systems of linear equations. X1 -t x2 s x3 0 x4 t. Setting x 2 c 1 and x 3 c 2 we obtain the following homogeneous linear system.

Post a Comment for "Solve The Homogeneous Linear System Corresponding To The Given Coefficient Matrix"